Korepetycje matematyka fizyka chemia warszawa łódź kraków wrocław poznań gdańsk
Korepetycje matematyka fizyka chemia rozwiązania zadań
Albert Einstein
1879-1955

Wzory

Jesteś niezalogowany

Uwaga nowość! Przygotowanie do egzaminu gimnazjalnego.

Rozpoczynamy publikację błyskawicznego kursu przypominającego. Na razie dwie lekcje pilotażowe, ale stopniowo, w ciągu kilku najbliższych dni umieścimy kilkanaście lekcji obejmujących cały obowiązujacy w gimnazjum zakres matematyki i fizyki.
Przedmiot
Poziom
Rozdzielność mnożenia wzglę­dem do­da­wa­nia
Kwadrat sumy
Kwadrat różnicy
Iloczyn sumy i różnicy
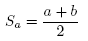
Średnia arytmetyczna dwóch liczb
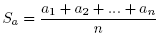
Średnia arytmetyczna n liczb
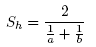
Średnia harmoniczna dwóch liczb
Średnia harmoniczna n liczb
Średnia geometryczna dwóch liczb
Średnia geometryczna n liczb
Potęga
Potęga o wykładniku 0
Iloczyn potęg o tej samej pod­sta­wie
Iloczyn potęg o tym samym wy­kład­niku
Potęga potęgi
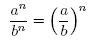
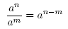
Iloraz potęg o tej samej podstawie
Iloraz potęg o tym samym wy­kład­niku
Potęga o wykładniku -1
Potęga o wykładniku wymiernym
Pierwiastek z iloczynu
Pierwiastek z ilorazu
Twierdzenie Pitagorasa
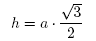
Wysokość trójkąta rów­no­bocz­ne­go
Twierdzenie Talesa
Pole powierzchni prostokąta
Pole powierzchni kwadratu
Pole powierzchni równoległoboku
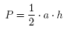
Pole powierzchni trójkąta
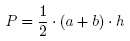
Pole powierzchni trazpezu
Obwód okręgu
Pole powierzchni koła
Objętość graniastosłupa
Objętość ostrosłupa
Objętość prostopadłościanu
Objętość sześcianu
Objętość walca
Objętość stożka
Objętość kuli
Pole powierzchni kuli
Tangens kąta
Cotangens kąta
Sinus kąta
Cosinus kąta
Tangens kąta
Pole trójkąta
Jedynka trygonometryczna
Funkcja liniowa
Funkcja kwadratowa
Proporcjonalność odwrotna
Konkurs
Wkrótce uruchomimy nową funkcjonalność, czyli możliwość publikowania rozwiązań zadań. W związku z tym przewidujemy ogłoszenie konkursu.

Będą trzy kategorie: najciekawsze zadanie, najbardziej efektowne rozwiązanie, najbardziej popularne rozwiązanie. Szczegóły oraz zasady konkursu zostaną wkrótce podane.

Valid XHTML 1.0 Transitional Poprawny CSS!